Vaccino Pfizer: 27% dei casi con effetti collaterali non gravi
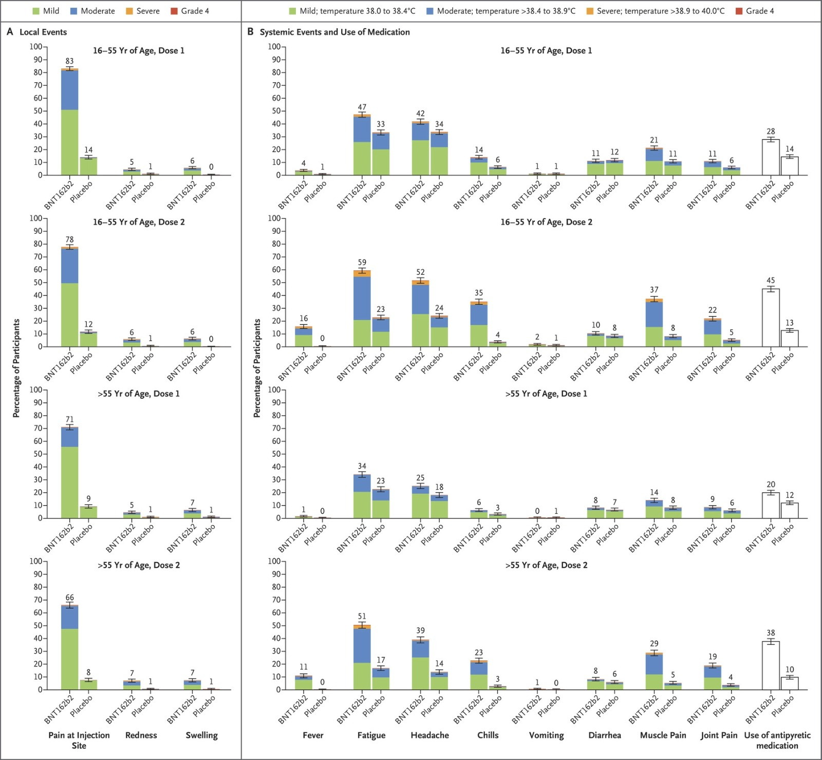
Da pochi giorni nel Regno Unito è iniziata la somministrazione del vaccino anti Covid di Pfizer-BioNTech e da uno studio è emerso che nel 27% dei casi sono avvenute delle reazioni avverse, non particolarmente gravi. Gli effetti più comuni sono febbre, mal di testa, brividi di freddo, vomito e diarrea.
I ricercatori hanno riferito che le le reazioni avverse più probabili consistono in un dolore moderato a breve termine nel punto in cui avviene l'iniezione, mal di testa e stanchezza.
Inoltre, secondo uno studio pubblicato sul New England Journal of Medicine sembrerebbe che la prima dose sia scarsamente efficace. Infatti la prima iniezione fornisce una protezione limitata dopo 12 giorni dalla somministrazione: l'efficacia della prima dose è pari al 52%, mentre dopo 7 giorni dalla seconda dose l'efficacia sale al 95%.
In merito alla sicurezza, invece, lo studio mostra che il 27% dei pazienti ha avuto degli effetti collaterali, contro il 12% di coloro ai quali è stato somministrato un placebo. In entrambi i gruppi, però, sono stati pochi i casi che hanno avuto degli effetti gravi. Durante la sperimentazione sono morti 6 pazienti, 4 dei quali erano stati trattati con placebo "ma nessuna delle morti è stata considerata dagli studiosi in relazione con il vaccino o il placebo e nessun decesso associato al Covdi-19 è stato osservato".

-
Scritto/aggiornato: 13 Dicembre 2020| Dora Bortoluzzi











